Filtro Pasa bajos Pasivo de 2do Orden RC
Tema complementario Filtros Pasa bajos
Un filtro pasa bajos pasivo de segundo orden RC como su nombre lo dice solo permite el paso de frecuencias bajas y atenúa las frecuencias altas. Esta compuesto por dos filtros pasa bajos de primer orden RC conectados en serie. La entrada es por la resistencia R1 y la salida se toma en el condensador C2. Se conoce como pasivo por que solo esta compuesto por elementos pasivos, y es de segundo orden por que contiene dos elementos reactivos ( dos condensadores). Tiene tres principales características: su máxima ganancia es uno, su ganancia en la frecuencia de corte es 0.707 (1 sobre raíz de 2), y el máximo factor de calidad Q que se puede configurar es menor a 0.5. El circuito es el siguiente:
Función de transferencia:
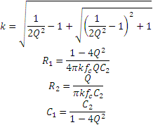
Ecuaciones de diseño:
Tenga en cuenta
Función de transferencia:
Ecuaciones de diseño:
Tenga en cuenta
- La máxima ganancia de este filtro es 1.
- El valor de C2 es libre, escoja el más adecuado
- fc es la frecuencia de corte.
- Un valor de factor de calidad alto da como resultado una pendiente más rápida en el filtro y por el contrario un factor de calidad bajo da una pendiente más lenta. En este caso al ser un filtro pasivo RC el mayor factor de calidad Q que se puede configurar es menor a 0.5.
Calculadora Filtro Pasa bajos Pasivo de 2do Orden RC
Descarga la simulación en proteus 7.9 de Filtro pasa bajos pasivo de 2do orden RC aquí.
Descarga la simulación en proteus 8.3 de Filtro pasa bajos pasivo de 2do orden RC aquí.
- Un valor de factor de calidad alto da como resultado una pendiente más rápida en el filtro y por el contrario un factor de calidad bajo da una pendiente más lenta. En este caso al ser un filtro pasivo RC el mayor factor de calidad Q que se puede configurar es menor a 0.5.
Calculadora Filtro Pasa bajos Pasivo de 2do Orden RC
Como usar la calculadora:
- Para los datos de entrada en caso de tener decimales se usa el punto no la coma. De usar la coma se produce error.
- La frecuencia de corte fc se puede ingresar en Hertz (Hz), kilohertz (kHz) o en Megahertz (MHz).
- El condensador C2 se puede ingresar en picofaradios (pF), nanofaradios (nF), microfaradios (uF) o en milifaradios (mF).
- El máximo valor de factor de calidad Q que se puede ingresar debe ser menor a 0.5 ( Q < 0.5), de colocarse un mayor valor aparecen incongruencias en los valores de los componentes.
- Las resistencias R1 y R2 se pueden ajustar a ohmios (Ω), kiloohmios (kΩ) o a Megaohmios (MΩ).
- El condensador C2 se puede ingresar en picofaradios (pF), nanofaradios (nF), microfaradios (uF) o en milifaradios (mF).
- El máximo valor de factor de calidad Q que se puede ingresar debe ser menor a 0.5 ( Q < 0.5), de colocarse un mayor valor aparecen incongruencias en los valores de los componentes.
- Las resistencias R1 y R2 se pueden ajustar a ohmios (Ω), kiloohmios (kΩ) o a Megaohmios (MΩ).
- El capacitor C1 se puede ajustar a picofaradios (pF), nanofaradios (nF), microfaradios (uF) o en milifaradios (mF).
Descarga la simulación en proteus 7.9 de Filtro pasa bajos pasivo de 2do orden RC aquí.
Descarga la simulación en proteus 8.3 de Filtro pasa bajos pasivo de 2do orden RC aquí.
Ejemplo 1. Diseñe un filtro pasa alto de segundo orden con frecuencia de corte de 1kHz y factor de calidad Q de 1/3.
Solución. Se escoge C2 con un valor de 10nF (se puede escoger cualquier otro). Se halla el valor de k:
Ahora hallamos el valor de R1:
El valor de R2 es:
Y finalmente el valor de C1:
El circuito queda de la siguiente manera:
La simulación es la siguiente:
La línea de color verde es la magnitud y la de color amarillo es la fase. La frecuencia de corte es de 1kHz.
Ahora hallamos el valor de R1:
El valor de R2 es:
Y finalmente el valor de C1:
El circuito queda de la siguiente manera:
La simulación es la siguiente:
La línea de color verde es la magnitud y la de color amarillo es la fase. La frecuencia de corte es de 1kHz.
Ejemplo 2. Diseñe un filtro pasa alto de segundo orden con frecuencia de corte de 10kHz y factor de calidad Q de 0.49.
Solución. Se escoge C2 con un valor de 1nF (se puede escoger cualquier otro). Se halla el valor de k:
Ahora hallamos el valor de R1:
El valor de R2 es:
Y finalmente el valor de C1:
El circuito queda de la siguiente manera:
La simulación es la siguiente:
La línea de color verde es la magnitud y la de color amarillo es la fase. La frecuencia de corte es de 10kHz.
Ahora hallamos el valor de R1:
El valor de R2 es:
Y finalmente el valor de C1:
El circuito queda de la siguiente manera:
La simulación es la siguiente:
La línea de color verde es la magnitud y la de color amarillo es la fase. La frecuencia de corte es de 10kHz.
Temas relacionados
Filtros analogicos
Filtros Pasa altos
Filtros Pasa bajos
Filtro pasa bajos Pasivo 1er Orden RC
Filtro pasa bajos Pasivo 1er Orden RL
Filtro pasa bajos Pasivo 2do Orden RLC
Filtro pasa bajos Activo 1er Orden RC
Filtro pasa bajos Activo 2do Orden Sallen Key
Filtro pasa bajos Activo 2do Orden MFB
Filtros Pasa banda
Filtros Rechaza Banda
Filtros Pasa altos
Filtros Pasa bajos
Filtro pasa bajos Pasivo 1er Orden RC
Filtro pasa bajos Pasivo 1er Orden RL
Filtro pasa bajos Pasivo 2do Orden RLC
Filtro pasa bajos Activo 1er Orden RC
Filtro pasa bajos Activo 2do Orden Sallen Key
Filtro pasa bajos Activo 2do Orden MFB
Filtros Pasa banda
Filtros Rechaza Banda
Como hallo las ecuaciones de la resistencia y los capacitores? Muchas gracias.
ResponderBorrarNecesitas primero obtener la impedancia y después aplicar la primera forma de Cauer. Es complicado llegar a ellas. Te aconsejo mires los libros de José Espí Lopez sobre redes circuitales ("Síntesis de Redes" y "Problemas resueltos de Teoría de Redes").
BorrarHola! de cuantos dB por decada hablamos en este caso?
ResponderBorrarComo llegaste a la formula de k? osea de donde derivan esas ecuaciones, si serias tan amable de explicarlo, gracias
ResponderBorrarHallando las ecuaciones, me sale un error, la función de transferencia es para un circuito Rc - Cr, vi lo mismo en otro post, seria ideal saber como sacaste la función de transferencia para corroborar datos.
ResponderBorrar