Amplificador inversor
Un Opamp Inversor o amplificador operacional inversor, invierte la señal de entrada y le da una ganancia de acuerdo al valor que tomen RF y R1, la ganancia puede ser menor que uno, igual a uno o mayor que uno. ¡¡¡¡OJO!!!! La señal de entrada se invierte no se desfasa 180 grados. Presenta una impedancia de entrada igual a R1 es decir presenta una muy mala impedancia de entrada comparado con un Opamp seguidor o con un Opamp no inversor. La impedancia de salida es pequeña (por el orden de Ohms) que garantiza que la totalidad de la señal de salida quede en la carga (RL).
Para balancear el circuito (Eliminar corriente de Bias) basta con poner una resistencia de valor igual al paralelo entre RF y R1 en el pin no inversor. Esta resistencia no afecta el análisis del Opamp inversor. En la siguiente tabla se presenta la ganancia, la impedancia de entrada y la impedancia de salida de un amplificador inversor, tanto ideal como real.
Al hacer tender ro (resistencia de salida del opamp), ri (resistencia de entrada del opamp) y Ad (ganancia diferencial) a sus valores ideales en los parámetros reales estos llegan al mismo valor que los parámetros ideales. Idealmente ro es "0", y ri y Ad tienden a infinito.
Para balancear el circuito (Eliminar corriente de Bias) basta con poner una resistencia de valor igual al paralelo entre RF y R1 en el pin no inversor. Esta resistencia no afecta el análisis del Opamp inversor. En la siguiente tabla se presenta la ganancia, la impedancia de entrada y la impedancia de salida de un amplificador inversor, tanto ideal como real.
Al hacer tender ro (resistencia de salida del opamp), ri (resistencia de entrada del opamp) y Ad (ganancia diferencial) a sus valores ideales en los parámetros reales estos llegan al mismo valor que los parámetros ideales. Idealmente ro es "0", y ri y Ad tienden a infinito.
A continuación se muestra el análisis circuital para hallar la ganancia, la impedancia de entrada y la impedancia de salida de un Opamp inversor real.
Ganancia: Es la relación entre el voltaje de salida y el voltaje de entrada.Impedancia de entrada: Para hallarla se coloca una fuente de voltaje de prueba VTH en la entrada y luego se halla la corriente ITH que circula por esta, la relación entre VTH e ITH es la impedancia de entrada zi .
Impedancia de salida: Para hallarla se apaga la fuente de entrada y se coloca una fuente de voltaje de prueba VTH en la salida, y luego se halla la corriente ITH que circula por esta la relación entre VTH e ITH es la impedancia de salida zo.
Ejemplo 1. Diseñe un amplificador inversor con una ganancia de 5. La señal de entrada sera 0.2Vp a una frecuencia de 1Khz. El circuito debe quedar balanceado.
Solución. Se escoge RF de un valor de 10k ohmios. Ahora se halla el valor de R1:Ahora para balancear el circuito hallamos el valor de R+:
Se usará el UA741 como amplificador operacional. Se usara una fuente dual de 5v. El circuito queda de la siguiente manera:
La simulación queda:
La línea de color amarilla es la entrada y la línea de color azul es la entrada. Se puede observar que la salida se invierte respecto a la entrada y que la ganancia es 5.
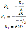
Ejemplo 2. Diseñe un amplificador inversor con una ganancia de 1/3. La señal de entrada sera de 1Vp @ 1kHz. El circuito debe quedar balanceado.
Solución. Se escoge RF de un valor de 2k ohmios. Ahora se halla el valor de R1:Ahora para balancear el circuito hallamos el valor de R+:
Como amplificador operacional se usara el UA741. Ademas se usara una fuente dual de 5 voltios.
La simulación es la siguiente:
La linea de color amarilla es la entrada y la linea de color azul es la salida. Se puede ver que la señal de salida se invierte respecto a la entrada. Ademas la ganancia es de 1/3 como se pedia.
Profe muchas gracias por la explicación, estoy muy agradecido
ResponderBorrargracias profe, me salvo el año de la carrera. tkm <3
ResponderBorrarLos links de varios lugares estan caidos
ResponderBorrarEsto es cierto
Borrar